Publicidade
{}
NotíciasColunistasSobreContatoAnuncie no DP
Revista DPPonto de VistaManhã Total
NotíciasColunistasSobreContatoAnuncie no DPRevista DPPonto de VistaManhã Total
Publicidade
Ponta Grossa

Professores de PG recebem reajuste salarial para 2025; saiba quanto

Atualização salarial está alinhada com o novo piso nacional definido pelo governo federal

há um ano

Redação

Publicidade
Professores de PG recebem reajuste salarial para 2025; saiba quanto
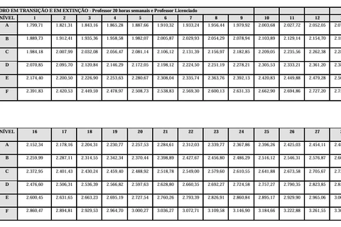
A Prefeitura de Ponta Grossa publicou em Diário Oficial um reajuste salarial de 6,27% para os profissionais do magistério da rede municipal de ensino, válido a partir de 1º de janeiro de 2025. A medida foi oficializada através do Decreto nº 24.475, que inclui as novas tabelas de vencimentos para todas as categorias do magistério. O reajuste está alinhado com a Portaria Interministerial MEC/MF nº 13, de 23 de dezembro de 2024, que estabeleceu o novo piso salarial nacional para os professores da educação básica. Com essa atualização, os vencimentos dos profissionais do magistério municipal serão elevados. Confira as tabelas completas abaixo:

Por Heryvelton Martins

Galeria de Imagens:

Imagem da Galeria
Imagem da Galeria
Imagem da Galeria
Publicidade

Leia também

João Barbiero Podcast: O impacto das telas na vida da família e das crianças
Publicidade
Publicidade
Publicidade
Publicidade
Publicidade
{ }
Rua Nestor Guimarães, 77 9ª andar, Sala 905 Vila Estrela, Ponta Grossa - PR CEP: 84040-130

Institucional

  • Notícias
  • Colunistas
  • Sobre
  • Contato
  • Anuncie no DP
  • Revista DP
  • Ponto de Vista
  • Manhã Total

Categorias

Redes Sociais

Hospedado por CloudFlash
Desenvolvido por Flize Tecnologia
Professores de PG recebem reajuste salarial para 2025; saiba quanto | D'PontaNews